Au moment de définir les spécifications des moteurs cc sans balais, le concepteur tiendra évidemment compte des paramètres essentiels que sont notamment la vitesse de fonctionnement et le couple, de même que la tension et le courant. Le couple de décrochage du moteur est tout aussi important, mais il est souvent négligé.
Appliquez un courant suffisant à un moteur cc sans balais (BLDC), et il se met en marche. Coupez le courant, et il s’arrête. Mais il existe un état intermédiaire où le courant circule, mais le moteur ne fonctionne pas. On dit alors que le moteur est au point mort. Dans cet état, où le courant est établi, le moteur est bien sous tension. Ce n’est pas parce qu’il ne tourne pas que le courant n’afflue pas dans les bobines.
C’est même plutôt l’inverse. Au point mort, un courant excessif circule, faisant chauffer les bobines du moteur. Si cela est maintenu, ou répété fréquemment, cela peut devenir problématique.
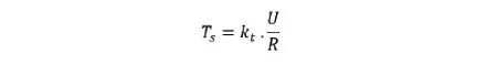
Le couple de décrochage d’un moteur cc sans balais dépend de la constante de couple, du courant de décrochage et du couple de frottement statique. Dans la plupart des applications, on peut ce dernier car sa contribution globale au couple de décrochage est négligeable. Dans ce cas, on peut dire que le couple de décrochage s’obtient par la formule suivante :

Le couple de décrochage d’un moteur donné sera précisé par le fournisseur du moteur. Des paramètres physiques ont une incidence sur cette valeur, mais d’autres facteurs contribuent aussi à une tolérance vis-à-vis du couple de décrochage qui peut être importante.
La constante de couple elle-même présente une tolérance typique de ±10 %. Dans ce chiffre, ±2,5 % sont dus à une variation de l’intensité magnétique de l’aimant permanent, c’est-à-dire une variation de la rémanence magnétique. La tolérance spécifique de cette valeur dépend de la capacité du processus de fabrication du fournisseur. Les ±7,5 % restants de la tolérance de la constante du couple sont principalement dus au réglage de phase.

La résistance de phase du moteur (mesurée en ohms) influence également la tolérance type, et l’on estime généralement sa contribution à ±8 %. Elle est due à la variation de la longueur du câble pendant le bobinage, un phénomène inhérent au processus de fabrication.
La résistance de phase du moteur (mesurée en ohms) influence également la tolérance type, et l’on estime généralement sa contribution à ±8 %. Elle est due à la variation de la longueur du câble pendant le bobinage, un phénomène inhérent au processus de fabrication.
En d’autres termes, avant même de commencer à tenir compte des influences extérieures, il est nécessaire de prévoir une tolérance de ±18 % pour la valeur spécifiée du couple de décrochage.
Une fois les incertitudes liées au processus de fabrication comprises, le concepteur doit alors tenir compte des influences physiques de l’application, parmi lesquelles la température est peut-être la plus importante. La température peut être un facteur extrinsèque (température ambiante) ou intrinsèque (pertes en joules de la bobine) ou les deux. C’est pour cette raison que la résistance de phase est toujours donnée pour une certaine température.
Une augmentation de la température conduit à une augmentation de la résistance de phase, suivant un rapport linéaire équivalant à une hausse d’environ 0,39 % par °C. La température aura également un impact sur la rémanence de l’aimant. Avec les aimants traditionnels utilisés dans les moteurs cc sans balais, dans l’hypothèse où la température resterait inférieure à celle de démagnétisation, la hausse de température entraînerait une baisse de la constante de couple de quelque 0,11 % par °C.

Le concepteur doit également tenir compte de l’influence de la méthode de pilotage, en particulier si l’application fait un usage spécifique du couple de décrochage, comme dans notre exemple de préhenseur électrique. Avec un contrôleur (ou driver) à 6 phases classique (utilisant des capteurs à effet Hall), une ondulation est associée au couple de sortie du moteur. La différence par rapport au sommet et au bas de cette ondulation est égale à 13,4 % du couple maximum disponible. Avec ce contrôleur, le couple de décrochage réel du moteur sera compris dans les limites de cette plage de tolérance de 13,4 % de l’ondulation du couple.
La commande à flux orienté (ou vectorielle) est une autre méthode de pilotage du moteur. Avec cette méthode, il n’y a pas d’ondulation du couple. Le couple est constant quelle que soit la position du rotor, et aucune ondulation n’influence la valeur du couple de décrochage.
On peut ainsi voir que de nombreux facteurs ont une incidence sur le couple de décrochage d’un moteur dans une application donnée, et les concepteurs doivent tenir compte de toutes ces influences. Il peut être tentant de se contenter de spécifier une électronique d’entraînement plus puissante, mais cela peut avoir des conséquences négatives au niveau de la taille, du coût et de la consommation électrique.
Portescap dispose d’une expertise considérable pour aider les ingénieurs à comprendre tous les facteurs qui influencent le couple de décrochage et a testé ses moteurs en conditions réelles. Image 1 : les ingénieurs de Portescap se tiennent à la disposition des concepteurs pour les aider à choisir l’ensemble moteur/contrôleur optimal en fonction des exigences de l’application, et apporter un soutien à la conception et à la spécification pendant tout le processus.
